Dzień dobry!
Mam zadanie dla matematyków i materiałoznawców. Chodzi o stosunek przekątnej sześciokątnych prętów stalowych do parametru "kilogramy na metr". Skoro przy przekątnej 10 wychodzi 0,68 kilograma, to dlaczego po powiększeniu pierwszego wymiaru do 30, drugi zwiększa się prawie 10 razy, do 6,12?!? Dane mam od producenta https://inox-polska.pl/stal-nierdzewna/prety-nierdzewne/.
Kompletnie tego nie rozumiem, przecież powinno być proporcjonalnie...
Skąd takie wartości? stosunek przekątnej sześciokątnych prętów
Moderator: Redakcja e-mieszkanie.pl
Skąd takie wartości? stosunek przekątnej sześciokątnych prętów
Ostatnio zmieniony 24 sty 2022, 9:00 przez Hasmukh, łącznie zmieniany 1 raz.
Re: Skąd takie wartości? stosunek przekątnej sześciokątnych prętów
Jestem projektantem konstrukcji budowlanych, ale odpowiem Tobie na pytanie.
Ciężar stali wynosi g=7850 [kg/m^3].
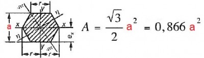
Wzór na pole sześciokąta wynosi: Ciężar jednego metra pręta oblicza się ze wzoru: G=1,0 m * g * A [kg/m]
(ponieważ ciężar jednego metra pręta stalowego to iloczyn ciężaru objętościowego stali * 1 metra pręta * pola powierzchni przekroju poprzecznego pręta)
Dla pręta 6-kątnego o wymiarze a=10 mm
ciężar 1 metra wynosi: G=1,0*7850*0,866*(0,010^2)=0,68 kg/m
Dla pręta 6-kątnego o wymiarze a=30 mm
ciężar 1 metra wynosi: G=1,0*7850*0,866*(0,030^2)=6,12 kg/m
Odpowiedź na Twoje drugie pytanie, znajdziesz po przeanalizowaniu wzoru do obliczania powierzchni sześciokąta. Wymiar a podniesiony jest we wzorze do potęgi drugiej. Oznacza to, że jeśli wymiar a wzrośnie 3-krotnie, to pole powierzchni A wzrośnie 9-krotnie.
W związku z tym, że ciężar jednostkowy pręta zależy bezpośrednio od pola powierzchni przekroju poprzecznego pręta, to ciężar jednostkowy również wzrósł 9-krotnie.
Ciężar stali wynosi g=7850 [kg/m^3].
Wzór na pole sześciokąta wynosi: Ciężar jednego metra pręta oblicza się ze wzoru: G=1,0 m * g * A [kg/m]
(ponieważ ciężar jednego metra pręta stalowego to iloczyn ciężaru objętościowego stali * 1 metra pręta * pola powierzchni przekroju poprzecznego pręta)
Dla pręta 6-kątnego o wymiarze a=10 mm
Dla pręta 6-kątnego o wymiarze a=30 mm
Odpowiedź na Twoje drugie pytanie, znajdziesz po przeanalizowaniu wzoru do obliczania powierzchni sześciokąta. Wymiar a podniesiony jest we wzorze do potęgi drugiej. Oznacza to, że jeśli wymiar a wzrośnie 3-krotnie, to pole powierzchni A wzrośnie 9-krotnie.
W związku z tym, że ciężar jednostkowy pręta zależy bezpośrednio od pola powierzchni przekroju poprzecznego pręta, to ciężar jednostkowy również wzrósł 9-krotnie.

